Puteri Cu Exponent Rational Exercitii Rezolvate





Formuleonline Probleme Si Exercitii Rezolvate Puterea Cu Exponent Rational Exercitiu Rezolvat 1 Math Examples Exponents Math

Formuleonline Probleme Si Exercitii Rezolvate Puterea Cu Exponent Rational Exercitiu Rezolvat 1 Math Examples Exponents Math

Operatii Cu Puteri Cu Exponent Real Clasa A X A 100101 01 Youtube

Operatii Cu Puteri Cu Exponent Real Clasa A X A 100101 01 Youtube

Ridicarea La Putere Cu Exponent Numar Intreg Youtube

Ridicarea La Putere Cu Exponent Numar Intreg Youtube

Teorie Exercitii Rezolvate Puteri Reguli De Calcul Cu Puteri Compararea Puterilor Patrat Perfect Cub Perfect Jitaruionelblog Pregatire Bac Si Evaluarea Nationala 2021 La Matematica Si Alte Materii Materiale Lectii Formule Exercitii

Teorie Exercitii Rezolvate Puteri Reguli De Calcul Cu Puteri Compararea Puterilor Patrat Perfect Cub Perfect Jitaruionelblog Pregatire Bac Si Evaluarea Nationala 2021 La Matematica Si Alte Materii Materiale Lectii Formule Exercitii

Teorie Exerciții Rezolvate Reguli De Calcul Cu Puteri In Q Jitaruionelblog Pregatire Bac Si Evaluarea Nationala 2021 La Matematica Si Alte Materii Materiale Lectii Formule Exercitii Rezolvate Matematica Gimnaziu Si Liceu

Teorie Exerciții Rezolvate Reguli De Calcul Cu Puteri In Q Jitaruionelblog Pregatire Bac Si Evaluarea Nationala 2021 La Matematica Si Alte Materii Materiale Lectii Formule Exercitii Rezolvate Matematica Gimnaziu Si Liceu

Operatii Cu Puteri Cu Exponent Real Clasa A X A 100101 01 Youtube

Operatii Cu Puteri Cu Exponent Real Clasa A X A 100101 01 Youtube

Operatii Cu Puteri Cu Exponent Real Clasa A X A 100101 01 Youtube

Puteri cu exponent numar rational exemple exercitii rezolvate publicat 26 09 2020.

Puteri cu exponent rational exercitii rezolvate. Formula puteri formule analiza financiara inmultirea radicalilor exercitii rezolvate custom search puterea cu exponent rational exercitiu rezolvat 12. Ecuatii cu modul sa se rezolve ecuatiile. Ecuatii de forma ax b 0 ecuatii cu parametrii de forma a m n x b m n 0 21 probleme rezolvate ecuatii cu radicali si ecuatii fractionare 21 probleme rezolvate ecuatii irationale 10 probleme rezolvate. Aveți în articol lecția exerciții rezolvate de clasa a 6 a matematică puterea cu exponent natural a unui număr rațional pozitiv.

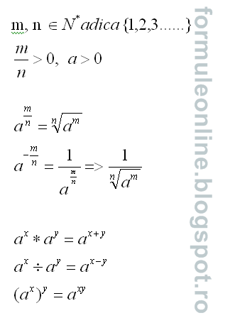
M z n n n 2 m ℤ n ℕ n 2 spunem ca puterea lui a a este egala cu. Puteri cu exponent rational avem. A m n a m n a m n a m n daca m 1 n 2 m 1 n 2 atunci a 1 n a n a 1 n a n. Reguli de calcul în q.

Radicalii de ordin impar din numere 0 sunt numere pentru a b i r n m i n atunci cand radicalii au sens avem.

Formule Matematica Numere Reale Puteri Cu Exponent Rational Proprietati

Formule Matematica Numere Reale Puteri Cu Exponent Rational Proprietati

Teorie Exerciții Rezolvate Reguli De Calcul Cu Puteri In Q Jitaruionelblog Pregatire Bac Si Evaluarea Nationala 2021 La Matematica Si Alte Materii Materiale Lectii Formule Exercitii Rezolvate Matematica Gimnaziu Si Liceu

Teorie Exerciții Rezolvate Reguli De Calcul Cu Puteri In Q Jitaruionelblog Pregatire Bac Si Evaluarea Nationala 2021 La Matematica Si Alte Materii Materiale Lectii Formule Exercitii Rezolvate Matematica Gimnaziu Si Liceu

Teorie Exercitii Rezolvate Puteri Reguli De Calcul Cu Puteri Compararea Puterilor Patrat Perfect Cub Perfect Jitaruionelblog Pregatire Bac Si Evaluarea Nationala 2021 La Matematica Si Alte Materii Materiale Lectii Formule Exercitii

Teorie Exercitii Rezolvate Puteri Reguli De Calcul Cu Puteri Compararea Puterilor Patrat Perfect Cub Perfect Jitaruionelblog Pregatire Bac Si Evaluarea Nationala 2021 La Matematica Si Alte Materii Materiale Lectii Formule Exercitii

Puteri Cu Exponent Rational

Puteri Cu Exponent Rational

Teorie Exerciții Rezolvate Reguli De Calcul Cu Puteri In Q Jitaruionelblog Pregatire Bac Si Evaluarea Nationala 2021 La Matematica Si Alte Materii Materiale Lectii Formule Exercitii Rezolvate Matematica Gimnaziu Si Liceu

Teorie Exerciții Rezolvate Reguli De Calcul Cu Puteri In Q Jitaruionelblog Pregatire Bac Si Evaluarea Nationala 2021 La Matematica Si Alte Materii Materiale Lectii Formule Exercitii Rezolvate Matematica Gimnaziu Si Liceu

Formule Online Probleme Si Exercitii Rezolvate Formule Puterea Cu Exponent Rational

Formule Online Probleme Si Exercitii Rezolvate Formule Puterea Cu Exponent Rational

Calcule Cu Puteri Operatii Cu Puteri Youtube

Calcule Cu Puteri Operatii Cu Puteri Youtube

Formuleonline Probleme Si Exercitii Rezolvate Puterea Cu Exponent Rational Exercitiu Rezolvat 8 Math Examples Exponents Math

Formuleonline Probleme Si Exercitii Rezolvate Puterea Cu Exponent Rational Exercitiu Rezolvat 8 Math Examples Exponents Math

Teorie Exerciții Rezolvate Reguli De Calcul Cu Puteri In Q Jitaruionelblog Pregatire Bac Si Evaluarea Nationala 2021 La Matematica Si Alte Materii Materiale Lectii Formule Exercitii Rezolvate Matematica Gimnaziu Si Liceu

Teorie Exerciții Rezolvate Reguli De Calcul Cu Puteri In Q Jitaruionelblog Pregatire Bac Si Evaluarea Nationala 2021 La Matematica Si Alte Materii Materiale Lectii Formule Exercitii Rezolvate Matematica Gimnaziu Si Liceu

Formuleonline Probleme Si Exercitii Rezolvate Puterea Cu Exponent Rational Exercitiu Rezolvat 3 Math Examples Exponents Math

Formuleonline Probleme Si Exercitii Rezolvate Puterea Cu Exponent Rational Exercitiu Rezolvat 3 Math Examples Exponents Math

Formule Matematica Numere Reale Puteri Puteri Cu Exponent Intreg Proprietati

Formule Matematica Numere Reale Puteri Puteri Cu Exponent Intreg Proprietati

Matematica Bacalaureat Evaluare Nationala Variante Rezolvateputeri Cu Exponent Numar Rational Matematica Bacalaureat Evaluare Nationala Variante Rezolvate

Matematica Bacalaureat Evaluare Nationala Variante Rezolvateputeri Cu Exponent Numar Rational Matematica Bacalaureat Evaluare Nationala Variante Rezolvate

Numere Rationale Teorie Exemple Exercitii Rezolvate Si Test Jitaruionelblog Pregatire Bac Si Evaluarea Nationala 2021 La Matematica Si Alte Materii Materiale Lectii Formule Exercitii Rezolvate Matematica Gimnaziu Si Liceu Teste De

Numere Rationale Teorie Exemple Exercitii Rezolvate Si Test Jitaruionelblog Pregatire Bac Si Evaluarea Nationala 2021 La Matematica Si Alte Materii Materiale Lectii Formule Exercitii Rezolvate Matematica Gimnaziu Si Liceu Teste De

Formuleonline Probleme Si Exercitii Rezolvate Puterea Cu Exponent Rational Exercitiu Rezolvat 6 Math Examples Exponents Math

Formuleonline Probleme Si Exercitii Rezolvate Puterea Cu Exponent Rational Exercitiu Rezolvat 6 Math Examples Exponents Math

Source : pinterest.com